网站域名:www.99biaozhun.com
会员登陆
免费注册
网站首页
最近更新
教育
技术资料
生活
图纸
搜索
上传资料
发布
当前位置:
>
文档资料
> 免费--高等数学竞赛讲义
免费--高等数学竞赛讲义.pdf 免费下载
星级评价:
暂无
文件大小:2.5 M
下载权限:无需注册
更新时间:2022-11-17
文件类型:.pdf
隶属栏目:文档资料
上传会员:zsq
浏览次数:1
授权方式:非商业性使用。侵权违法举报 i99biaozhun@163.com
内容介绍
免费--高等数学竞赛讲义资料下载,喜欢的朋友可以下载收藏!
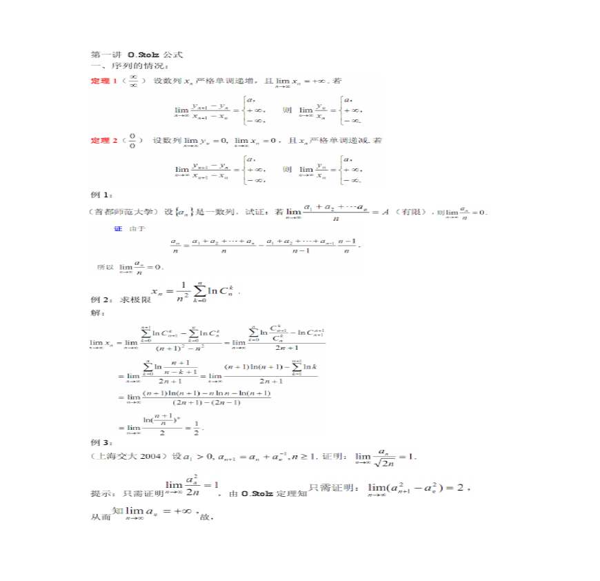
第一页预览图:
第二页预览图:
·
进入下载地址列表
其他资料
猜你喜欢
下载排行
2008年硕士研究生入学考试数据结构
点击量:5次
2
顾颉刚《中国上古史研究讲义》
3
中国上古史讲义
4
免费--A0106人类理解研究--休谟
5
顾颉刚:《中国上古史研究讲义》
6
科学研究方法十讲——中国近代经济史专业硕士研究
7
【物联网免费资源】2010年物联网产业链分析及企业
8
西南财经博士研究生高级计量经济学讲义
9
第三节控制面与用户面路由功能讲义
10
计算机控制与应用实验讲义代码_吉林09级
11
2013武汉XX848自动控制原理考研真题笔记讲义全套
12
《溷凝土质量控制标准》(GB 50164-2011)学习讲
13
数学控制论讲义(郭宝珠)
14
考研计算机基础讲义组成原理
15
2013华中XX811微机原理及接口技术考研真题笔记讲
16
2014年自考02318计算机组成原理-串讲讲义-00.应考
17
免费--D0703人口原理
18
重庆电气工程与自动化专业自动控制原理基础班讲义
19
奥数 六年级 千份讲义 91 05六年级 第05讲 计数的
20
2015年考研逻辑【跨考教育】基础阶段-内部讲义(
21
六级讲义
22
2015年国考行测技巧班讲义
23
建筑学学生怎样免费使用正版AUTODESK系列软件 (1)
24
第1-4届全国生数学竞赛预赛决赛试卷答案(数学类
25
经济类学生用简明实变函数(测度论)讲义-上海
26
2015慕尼黑再保险杯生精算数学竞赛报名表.xls_
27
经济简明实变函数(测度论)讲义
28
国际中学生数学竞赛AMC8教程
29
第二届生数学竞赛预赛试题(非数学类)参考答案及
30
step_by_step_3000学生用书第一册答案_免费_
31
第二届全国生数学竞赛预赛试卷
32
生数学竞赛培训讲义
33
免费--经济类学生用简明实变函数(测度论)讲义-
34
经济类学生用简明实变函数(测度论)讲义-上海财
35
免费--冯克勤文存--1--中学生数学视野丛书-从整数
36
1979年全国中学生数学竞赛题解
37
苏联中学生数学竞赛题解
《期货交易策略》[美]斯坦利.克罗(
点击量:200次
200
2
《期货交易策略》[美]斯坦利.克罗(Stan
200
3
GBT14976-2002流体输送用不锈钢无缝钢
200
4
水利水电工程环境保护概估算编制规程 S
200
5
锅炉、热交换器用不锈钢无缝钢管 GB 13
200
6
GB_50041-2008_锅炉房设计规范
200
7
GBT--9089.1-2008
200
8
韩顺平玩转oracle视频教程笔记
200
9
使用频率最高的一千句 英语
200
10
《毛宗岗批评本三国演义》[明] 罗贯中
200
11
GB/T 50610-2010 车用乙醇汽油储运设
200
12
7944740
200
13
WHO+Classification+of+Tumours+of+Fem
200
14
1998年考研英语真题及解析
200
15
线性代数 98 国防科大 321
200
16
JBZQ 4224-2006 O形橡胶密封圈