网站域名:www.99biaozhun.com
会员登陆
免费注册
网站首页
最近更新
教育
技术资料
生活
图纸
搜索
上传资料
发布
当前位置:
>
文档资料
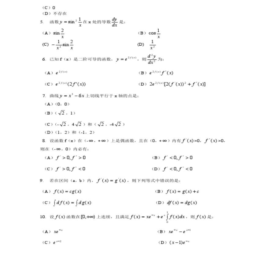
> 2008年注册电气工程师公共基础真题
2008年注册电气工程师公共基础真题.pdf 免费下载
星级评价:
暂无
文件大小:6.5 M
下载权限:无需注册
更新时间:2022-07-30
文件类型:.pdf
隶属栏目:文档资料
上传会员:空山鸟语
浏览次数:1
授权方式:非商业性使用。侵权违法举报 i99biaozhun@163.com
内容介绍
2008年注册电气工程师公共基础真题资料下载,喜欢的朋友可以下载收藏!
第一页预览图:
第二页预览图:
·
进入下载地址列表
其他资料
猜你喜欢
下载排行
2008年硕士研究生入学考试数据结构
点击量:5次
2
_考研英语真题研究5遍法(目标60分)
3
考研英语真题研究6遍法(目标65分)
4
2012年1月研究生英语学位课统考真题及答案
5
2003-2008北京邮电大信号与系统硕士研究生入学试
6
_考研英语真题研究5遍法_目标60分_
7
中科院研究生入学考试-考研真题-光学2007
8
考研英语真题研究5遍法(目标60分)
9
_考研英语真题研究5遍法(目标70分)
10
研究生英语阅读教程(第二版基础级)教师用书
11
研究生翻译基础教程
12
2000考研数学二真题及答案
13
1996考研数学二真题及答案
14
1999考研数学二真题及答案
15
中科院博士研究生入学考试英语真题及答案 2000
16
中科院博士研究生入学考试英语真题及答案 2001
17
中科院博士研究生入学考试英语真题及答案 2002.10
18
研究生英语学位课统考真题答案2000-2011年
19
刘毅:突破英文基础词汇,外语教学与研究,2003
20
全国硕士研究生入学心理学专业基础综合考试-考研
21
2007-2013年全国硕士研究生入学统一考试历史学基
22
第二章 材料近代研究方法的物理基础
23
2《高考数学真题分类解读 第2册》高考真题研究组
24
2015全国硕士研究生入学统一考试教育学专业真题与
25
2015全国硕士研究生入学统一考试历史学专业真题与
26
中国科学研究院中科院考博英语真题试题试卷及答案
27
工程硕士研究生英语基础教程学生用书
28
北航满分基础物理实验研究性报告
29
2011年12月研究生学位英语真题
30
2009年全国硕士研究生入学考试计算机统考真题(完
31
2009年全国硕士研究生入学考试计算机统考真题参考
32
考研英语真题研究5遍法_目标60分_
33
考研历史资料_2012年全国硕士研究生入学统一考试
34
考研英语真题研究5遍法
35
研究生入学考试要点、真题解析与模拟试卷 (自动
36
2000-数学二真题、标准答案及解析
37
华南理工研究生入学考试建筑物理真题 2004--2012
《期货交易策略》[美]斯坦利.克罗(
点击量:200次
200
2
《期货交易策略》[美]斯坦利.克罗(Stan
200
3
GBT14976-2002流体输送用不锈钢无缝钢
200
4
水利水电工程环境保护概估算编制规程 S
200
5
锅炉、热交换器用不锈钢无缝钢管 GB 13
200
6
GB_50041-2008_锅炉房设计规范
200
7
GBT--9089.1-2008
200
8
韩顺平玩转oracle视频教程笔记
200
9
使用频率最高的一千句 英语
200
10
《毛宗岗批评本三国演义》[明] 罗贯中
200
11
GB/T 50610-2010 车用乙醇汽油储运设
200
12
7944740
200
13
WHO+Classification+of+Tumours+of+Fem
200
14
1998年考研英语真题及解析
200
15
线性代数 98 国防科大 321
200
16
JBZQ 4224-2006 O形橡胶密封圈