网站域名:www.99biaozhun.com
会员登陆
免费注册
网站首页
最近更新
教育
技术资料
生活
图纸
搜索
上传资料
发布
当前位置:
>
文档资料
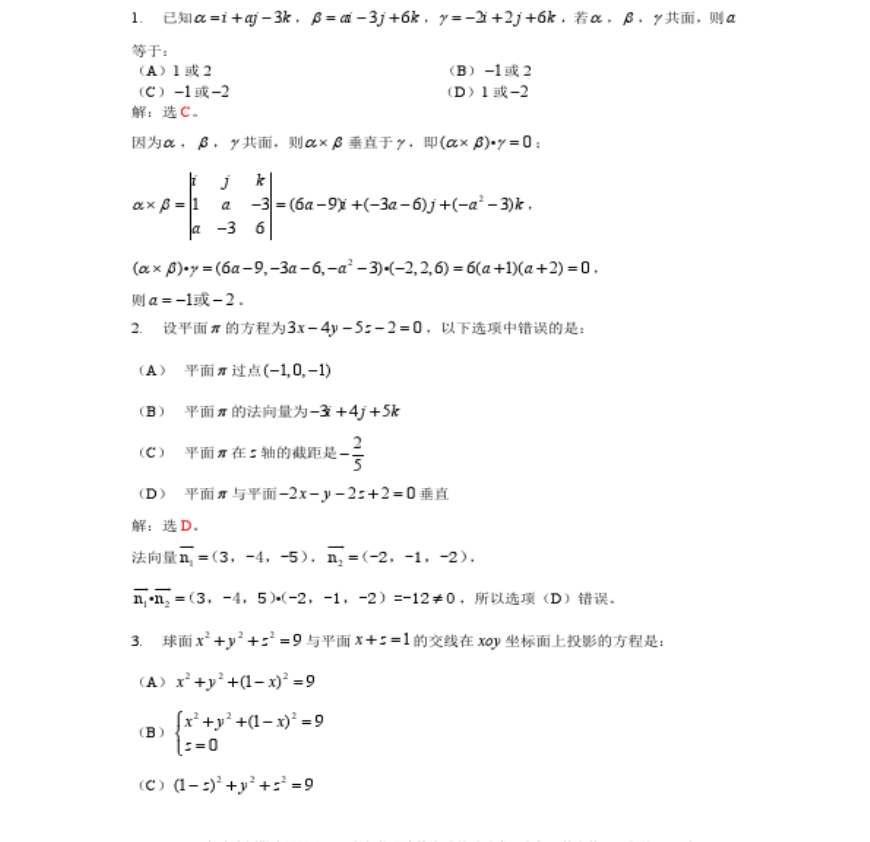
> 2006计注册环保工程师考试公共基础考试历年真题(上午)
2006计注册环保工程师考试公共基础考试历年真题(上午).pdf 免费下载
星级评价:
暂无
文件大小:3.3 M
下载权限:无需注册
更新时间:2023-10-03
文件类型:.pdf
隶属栏目:文档资料
上传会员:Jawayhar
浏览次数:1
授权方式:非商业性使用。侵权违法举报 i99biaozhun@163.com
内容介绍
2006计注册环保工程师考试公共基础考试历年真题(上午)资料下载,喜欢的朋友可以下载收藏!
第一页预览图:
第二页预览图:
·
进入下载地址列表
其他资料
猜你喜欢
下载排行
2008年硕士研究生入学考试数据结构
点击量:5次
2
2011年造价工程师考试计价与控制真题答案
3
2014年监理工程师考试教材建设工程质量控制
4
2014年监理工程师考试教材建设工程进度控制
5
2014年监理工程师考试教材建设工程投资控制
6
太原XX翻译硕士(MTI)2013年考研历年真题招生人
7
2012年下半年全国统考中学教师资格证历年真题试卷
8
河南高校教师资格证历年真题
9
考研英语二历年真题(2010—2015年)
10
考研英语二历年真题(2010—2015年) (1)
11
全国计算机二级access历年真题及答案_07-2011_
12
(2005-2012)自考英语二历年真题及答案
13
二注历年真题
14
二级结构注册工程师考试真题06-10年
15
执业西药师考试历年真题西药类执业药师真题2003-2
16
二建法规历年真题
17
06-10年二级结构注册工程师考试真题
18
2012年全国二级注册结构工程师专业考试历年真题与
19
二注历年真题解析
20
沪江英语原创:从历年真题学英语六级单词
21
英语六级(2006年6月-2011年12月)历年真题
22
CPA《会计》第六章无形资产—历年真题和经典例题
23
英语六级考试历年真题精解
24
[emuch.net][1343727]2010注册化工工程师专业考试
25
2006 注册环保工程师考试公共基础考试历年真题及
26
2014西南石油四六级缴费(不含现金缴费)截止时间
27
A1数学过关必做1000题(含历年真题)
28
A4经济学基础过关必做习题集(含历年真题)
29
A5寿险精算过关必做习题集(含历年真题)
30
A6非寿险精算过关必做500题(含历年真题)
31
职称英语理工B级历年真题及答案
32
03-12历年职称英语考试理工类B级历年真题及答案
33
人事部英语二级笔译历年真题
34
二建机电实务历年真题(2005-2012)
35
考研数二历年真题(1990-2009)无答案
36
二级注册结构工程师考试真题及标准解答
37
证券投资基金历年真题二
《期货交易策略》[美]斯坦利.克罗(
点击量:200次
200
2
《期货交易策略》[美]斯坦利.克罗(Stan
200
3
GBT14976-2002流体输送用不锈钢无缝钢
200
4
水利水电工程环境保护概估算编制规程 S
200
5
锅炉、热交换器用不锈钢无缝钢管 GB 13
200
6
GB_50041-2008_锅炉房设计规范
200
7
GBT--9089.1-2008
200
8
韩顺平玩转oracle视频教程笔记
200
9
使用频率最高的一千句 英语
200
10
《毛宗岗批评本三国演义》[明] 罗贯中
200
11
GB/T 50610-2010 车用乙醇汽油储运设
200
12
7944740
200
13
WHO+Classification+of+Tumours+of+Fem
200
14
1998年考研英语真题及解析
200
15
线性代数 98 国防科大 321
200
16
JBZQ 4224-2006 O形橡胶密封圈